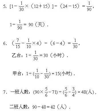
六年級奧數講義上:分數、百分數應用題(二)習題解答



奧數 > 小學資源庫 > 奧數練習題 > 六年級奧數 > 分數、百分數應用題 > 正文
2011-10-25 13:59:49 下載試卷
六年級奧數講義上:分數、百分數應用題(二)習題解答



| 星期日 | 星期一 | 星期二 | 星期三 | 星期四 | 星期五 | 星期六 |
|---|---|---|---|---|---|---|
| 27 | 28 | 29 | 30 | 1 找規律 |
2 找規律 |
3 找規律 |
| 4 找規律 |
5 找規律 |
6 找規律 |
7 找規律 |
8 排序 |
9 數一數 |
10 比一比 |
| 11 數一數 |
12 圖形計數 |
13 數一數 |
14 火柴棒 |
15 火柴棒 |
16 找規律 |
17 圖形分類 |
| 18 邏輯思維 |
19 邏輯思維 |
20 邏輯思維 |
21 邏輯思維 |
22 邏輯思維 |
23 邏輯思維 |
24 邏輯思維 |
| 25 應用題 |
26 應用題 |
27 時間問題 |
28 應用題 |
29 應用題 |
30 植樹問題 |
31 應用題 |
| 星期日 | 星期一 | 星期二 | 星期三 | 星期四 | 星期五 | 星期六 |
|---|---|---|---|---|---|---|
| 1 應用題 |
2 計算 |
3 枚舉法 |
4 排隊問題 |
5 排隊問題 |
6 應用題 |
7 智力題 |
| 8 排隊問題 |
9 應用題 |
10 智力題 |
11 數字問題 |
12 排隊問題 |
13 應用題 |
14 找規律 |
| 15 邏輯問題 |
16 計算 |
17 應用題 |
18 年齡問題 |
19 應用題 |
20 智力題 |
21 植樹問題 |
| 22 智力題 |
23 數一數 |
24 填數 |
25 時鐘問題 |
26 巧算 |
27 應用題 |
28 邏輯問題 |
| 29 邏輯問題 |
30 時間問題 |
31 分類 |
1 | 2 | 3 | 4 |
| 星期日 | 星期一 | 星期二 | 星期三 | 星期四 | 星期五 | 星期六 |
|---|---|---|---|---|---|---|
| 29 | 30 | 31 | 1 找規律 |
2 找規律 |
3 找規律 |
4 找規律 |
| 5 找規律 |
6 找規律 |
7 找規律 |
8 邏輯思維 |
9 數一數 |
10 找規律 |
11 比一比 |
| 12 數一數 |
13 排隊問題 |
14 想一想 |
15 觀察圖形 |
16 數一數 |
17 火柴棒 |
18 火柴棒 |
| 19 觀察圖形 |
20 數一數 |
21 動手畫畫 |
22 動手畫畫 |
23 動手畫畫 |
24 想一想 |
25 一筆畫 |
| 26 認識圖形 |
27 觀察圖形 |
28 數一數 |
1 | 2 | 3 | 4 |
| 星期日 | 星期一 | 星期二 | 星期三 | 星期四 | 星期五 | 星期六 |
|---|---|---|---|---|---|---|
| 26 | 27 | 28 | 1 比一比 |
2 比一比 |
3 比一比 |
4 比一比 |
| 5 比一比 |
6 比一比 |
7 比一比 |
8 趣味題 |
9 趣味題 |
10 趣味題 |
11 趣味題 |
| 12 趣味題 |
13 趣味題 |
14 趣味題 |
15 應用題 |
16 應用題 |
17 應用題 |
18 應用題 |
| 19 應用題 |
20 應用題 |
21 應用題 |
22 數一數 |
23 數一數 |
24 數一數 |
25 數一數 |
| 26 數一數 |
27 數一數 |
28 數一數 |
29 邏輯問題 |
30 邏輯問題 |
31 邏輯問題 |
1 |
| 星期日 | 星期一 | 星期二 | 星期三 | 星期四 | 星期五 | 星期六 |
|---|---|---|---|---|---|---|
| 26 | 27 | 28 | 29 | 30 | 31 | 1 間隔之謎 |
| 2 間隔之謎 |
3 間隔之謎 |
4 間隔之謎 |
5 填數 |
6 填算符 |
7 填算符 |
8 填數 |
| 9 等量代換 |
10 等量代換 |
11 等量代換 |
12 填符號 |
13 填數 |
14 填數 |
15 填數 |
| 16 填算式 |
17 填算式 |
18 等量代換 |
19 趣味題 |
20 趣味題 |
21 歸一問題 |
22 間隔問題 |
| 23 應用題 |
24 鐘表問題 |
25 速算與巧算 |
26 速算與巧算 |
27 填算符 |
28 填算式 |
29 推理 |
| 30 生活中的數學 |
1 | 2 | 3 | 4 | 5 | 6 |
| 星期日 | 星期一 | 星期二 | 星期三 | 星期四 | 星期五 | 星期六 |
|---|---|---|---|---|---|---|
| 30 | 1 應用題 |
2 應用題 |
3 應用題 |
4 應用題 |
5 應用題 |
6 應用題 |
| 7 應用題 |
8 付錢的方法 |
9 付錢的方法 |
10 付錢的方法 |
11 付錢的方法 |
12 付錢的方法 |
13 付錢的方法 |
| 14 摸彩球 |
15 摸彩球 |
16 摸彩球 |
17 摸彩球 |
18 摸彩球 |
19 巧算速算 |
20 巧算速算 |
| 21 巧算速算 |
22 天平平衡 |
23 合理分組 |
24 合理分組 |
25 合理分組 |
26 合理分組 |
27 合理分組 |
| 28 找規律 |
29 找規律 |
30 找規律 |
31 找規律 |
1 | 2 | 3 |
| 星期日 | 星期一 | 星期二 | 星期三 | 星期四 | 星期五 | 星期六 |
|---|---|---|---|---|---|---|
| 28 | 29 | 30 | 31 | 1 認識圖形 |
2 數數與計數 |
3 應用題 |
| 4 應用題 |
5 應用題 |
6 應用題 |
7 年齡問題 |
8 應用題 |
9 簡單的推理 |
10 植樹問題 |
| 11 應用題 |
12 余數 |
13 數一數 |
14 數一數 |
15 數一數 |
16 找規律 |
17 火柴棒 |
| 18 簡單推理 |
19 數一數 |
20 火柴棍 |
21 火柴棍 |
22 計算問題 |
23 計算問題 |
24 數一數 |
| 25 奇數偶數 |
26 找規律 |
27 找規律 |
28 簡單的推理 |
29 奇數與偶數 |
30 植樹問題 |
1 |
| 星期日 | 星期一 | 星期二 | 星期三 | 星期四 | 星期五 | 星期六 |
|---|---|---|---|---|---|---|
| 25 | 26 | 27 | 28 | 29 | 30 | 1 數一數 |
| 2 數一數 |
3 數一數 |
4 數一數 |
5 數一數 |
6 數一數 |
7 數一數 |
8 數數與計數 |
| 9 數數與計數 |
10 數數與計數 |
11 數數與計數 |
12 數數與計數 |
13 數數與計數 |
14 數數與計數 |
15 分組與組式 |
| 16 分組與組式 |
17 分組與組式 |
18 分組與組式 |
19 分組與組式 |
20 分組與組式 |
21 分組與組式 |
22 奇偶性 |
| 23 奇偶性 |
24 奇偶性 |
25 奇偶性 |
26 奇偶性 |
27 奇偶性 |
28 奇偶性 |
29 火柴棒 |
| 30 火柴棒 |
31 火柴棒 |
1 | 2 | 3 | 4 | 5 |
| 星期日 | 星期一 | 星期二 | 星期三 | 星期四 | 星期五 | 星期六 |
|---|---|---|---|---|---|---|
| 30 | 31 | 1 應用題 |
2 邏輯思維 |
3 排隊問題 |
4 年齡問題 |
5 火柴棒問題 |
| 6 邏輯問題 |
7 邏輯問題 |
8 應用題 |
9 邏輯問題 |
10 填算符 |
11 應用題 |
12 年齡問題 |
| 13 應用題 |
14 應用題 |
15 應用題 |
16 應用題 |
17 應用題 |
18 應用題 |
19 應用題 |
| 20 火柴棒問題 |
21 報數 |
22 數字游戲 |
23 填符號 |
24 想一想 |
25 想一想 |
26 應用題 |
| 27 速算 |
28 速算 |
29 速算 |
30 數一數 |
31 應用題 |
1 | 2 |
| 星期日 | 星期一 | 星期二 | 星期三 | 星期四 | 星期五 | 星期六 |
|---|---|---|---|---|---|---|
| 27 | 28 | 29 | 30 | 31 | 1 找規律 |
2 找規律 |
| 3 找規律 |
4 找規律 |
5 找規律 |
6 找規律 |
7 找規律 |
8 邏輯思維 |
9 邏輯思維 |
| 10 邏輯思維 |
11 邏輯思維 |
12 邏輯思維 |
13 邏輯思維 |
14 邏輯思維 |
15 做做想想 |
16 做做想想 |
| 17 做做想想 |
18 做做想想 |
19 做做想想 |
20 做做想想 |
21 做做想想 |
22 火柴棒 |
23 火柴棒 |
| 24 火柴棒 |
25 火柴棒 |
26 火柴棒 |
27 應用題 |
28 應用題 |
29 應用題 |
30 應用題 |

歡迎掃描二維碼
關注奧數網微信
ID:aoshu_2003

歡迎掃描二維碼
關注中考網微信
ID:zhongkao_com